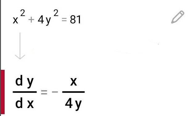
определите вид заданного не ленейного уравнения с двумя переменными и постройть гравик х²+4у²=81
Ответы
Ответ дал:
1
Ответ:
.................. / \
|
Приложения:

Вас заинтересует
2 года назад
2 года назад
2 года назад
2 года назад
7 лет назад
7 лет назад