• Предмет: Алгебра
  • Автор: firartemii
  • Вопрос задан 3 года назад

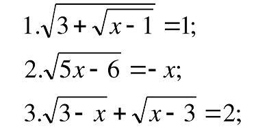
Пожалуйста распишите ответ более детально

Приложения:

Ответы

Ответ дал: Miroslava227
1

Ответ:

решение на фотографии

Приложения:
Вас заинтересует