• Предмет: Математика
  • Автор: muratasakaev4
  • Вопрос задан 3 года назад

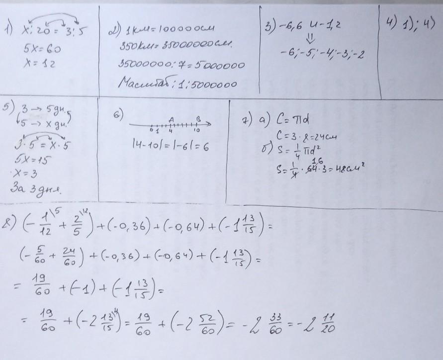
Сделайте весь СОЧ, 30баллов даю​

Приложения:

Ответы

Ответ дал: MJfrenchy
0

Ответ:

Все решения даны во вложении

Удачи! :)

Приложения:
Вас заинтересует