• Предмет: Алгебра
  • Автор: madina140205aman
  • Вопрос задан 3 года назад

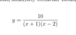
найдите область определения функции
ПОЖАЛУЙСТА ПОМОГИТЕ

Приложения:

Ответы

Ответ дал: Kazhym
0

Ответ: область определения функции

Х+1≠0; х-2 ≠0

х≠-1; х≠2

х∉∅

Нет пересечения с осю х

Вас заинтересует