• Предмет: Алгебра
  • Автор: kurmanovmansur690
  • Вопрос задан 3 года назад

помогите пжж срочнооо

Приложения:

Ответы

Ответ дал: cyfra17
1

Ответ:

Объяснение:

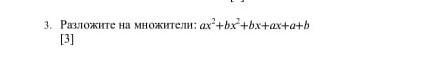
ax²+bx²+bx+ax+a+b=

=x²(a+b)+x(b+a)+(a+b)=

=(a+b)(x²+x+1)

Вас заинтересует