• Предмет: Алгебра
  • Автор: povzun345
  • Вопрос задан 3 года назад

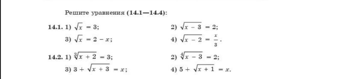
Решите пожалуйста 14.1 (1,4) и
14.2 (1,3)

Приложения:

Ответы

Ответ дал: Miroslava227
1

Ответ:

решение на фотографии

Приложения:
Вас заинтересует