• Предмет: Алгебра
  • Автор: gursss
  • Вопрос задан 11 лет назад

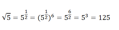
В какую степень необходимо возвести √5,чтобы получилось число 125?

Ответы

Ответ дал: Гуульназкин
0
необходимо возвести в шестую степень
Ответ дал: urasuper123
0
вот решение твоего задание 
Приложения:
Ответ дал: gursss
0
нее то
Ответ дал: urasuper123
0
в каком смысле?
Вас заинтересует