• Предмет: Математика
  • Автор: yesbosinov
  • Вопрос задан 3 года назад

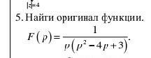
Помогите пожалуйста​

Приложения:

Ответы

Ответ дал: HagitoKomaede
1

Тут  ъыъ даже надежда безсильна

Вас заинтересует