• Предмет: Алгебра
  • Автор: pixxs
  • Вопрос задан 3 года назад

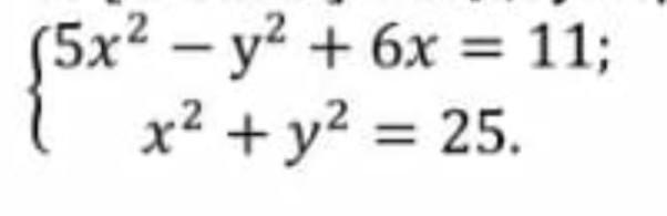
теңдеулер жүйесін шешіңіз:
решите систему уравнений:
помогите пожалуйста​

Приложения:

Ответы

Ответ дал: MizoriesKun
2

смотри.....................

Приложения:
Вас заинтересует