• Предмет: Алгебра
  • Автор: ChaosAngel
  • Вопрос задан 3 года назад

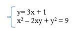
3. Решите систему уравнений:

Приложения:

Ответы

Ответ дал: zinaidazina
1

\left \{ {{y=3x+1} \atop {x^2-2xy+y^2=9}} \right.

\left \{ {{y=3x+1} \atop {(x-y)^2=9}} \right.

(x-(3x+1))^2=9

(-2x-1)^2=9

4x^2+4x+1=9

4x^2+4x-8=0

x^2+x-2=0

D=1-4*1*2=9=3^2

x_1=\frac{-1-3}{2}=-2

x_2=\frac{-1+3}{2}=1

1)   x_1=-2  =>   y_1=3*(-2)+1= -5

      x_1=-2 ;     y_1=-5

2)  x_2=1;   =>      y_2= 3*1+1=4

      x_2=1;       y_2=4

Ответ:    (-2; -5);  (1;  4)

Вас заинтересует