• Предмет: Математика
  • Автор: zannurkalybaev
  • Вопрос задан 3 года назад

Приведи дроби к наименьшему общему знаменателю ​

Приложения:

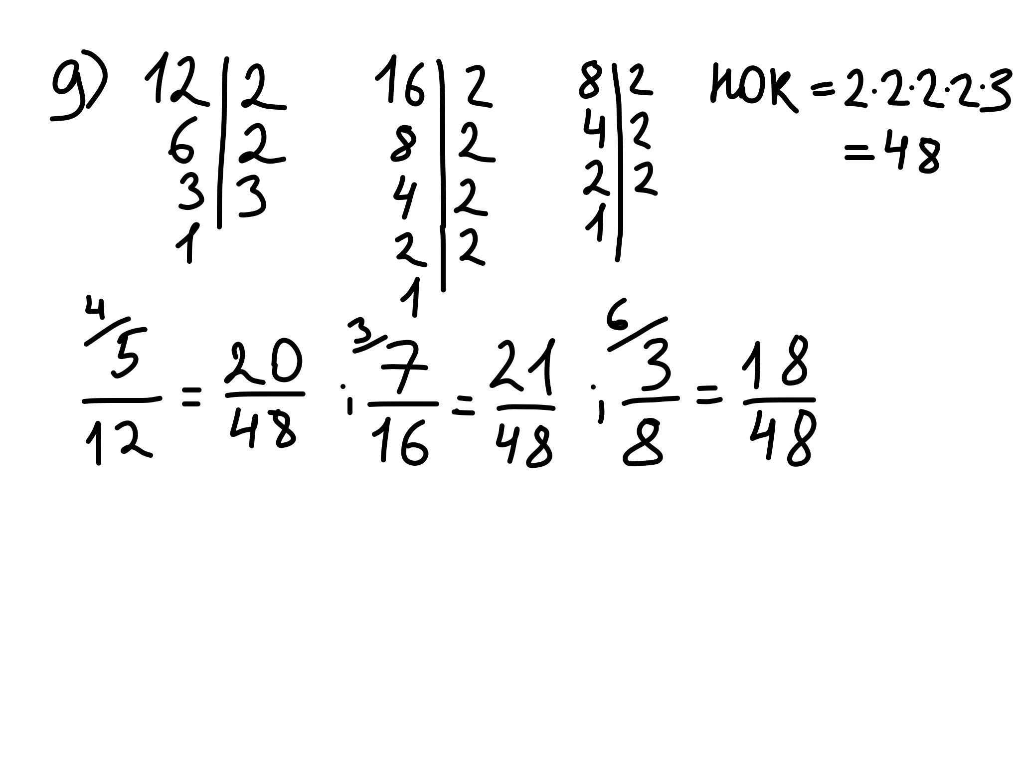
Аноним: 12=3*2*2. 16=2*2*2*2. 8=2*2*2. НОК=3*2*2*2*2=48. Общий знаменатель 48. 5/12=5*4/12*4=20/48; 7/16=3*7/3*16=21/48; 3/8=3*6/8*6=18/48
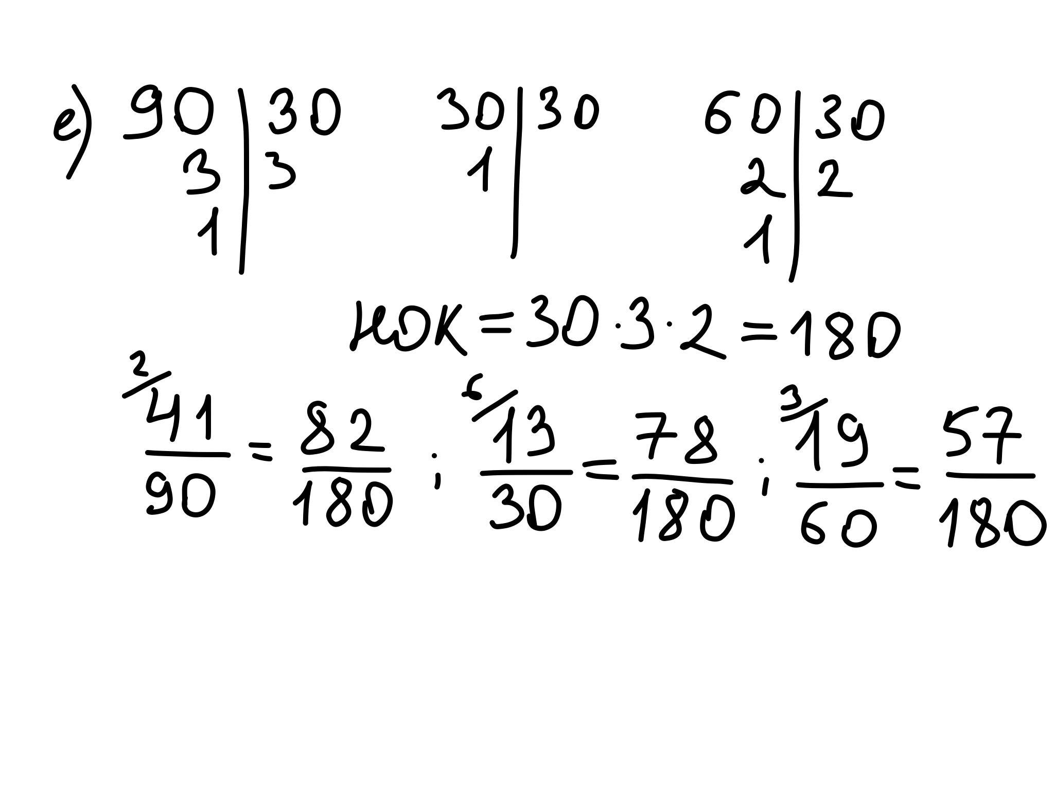
Аноним: е) Общий знаменатель 180.

Ответы

Ответ дал: Ифигения
1

Ответ:

Пошаговое объяснение:

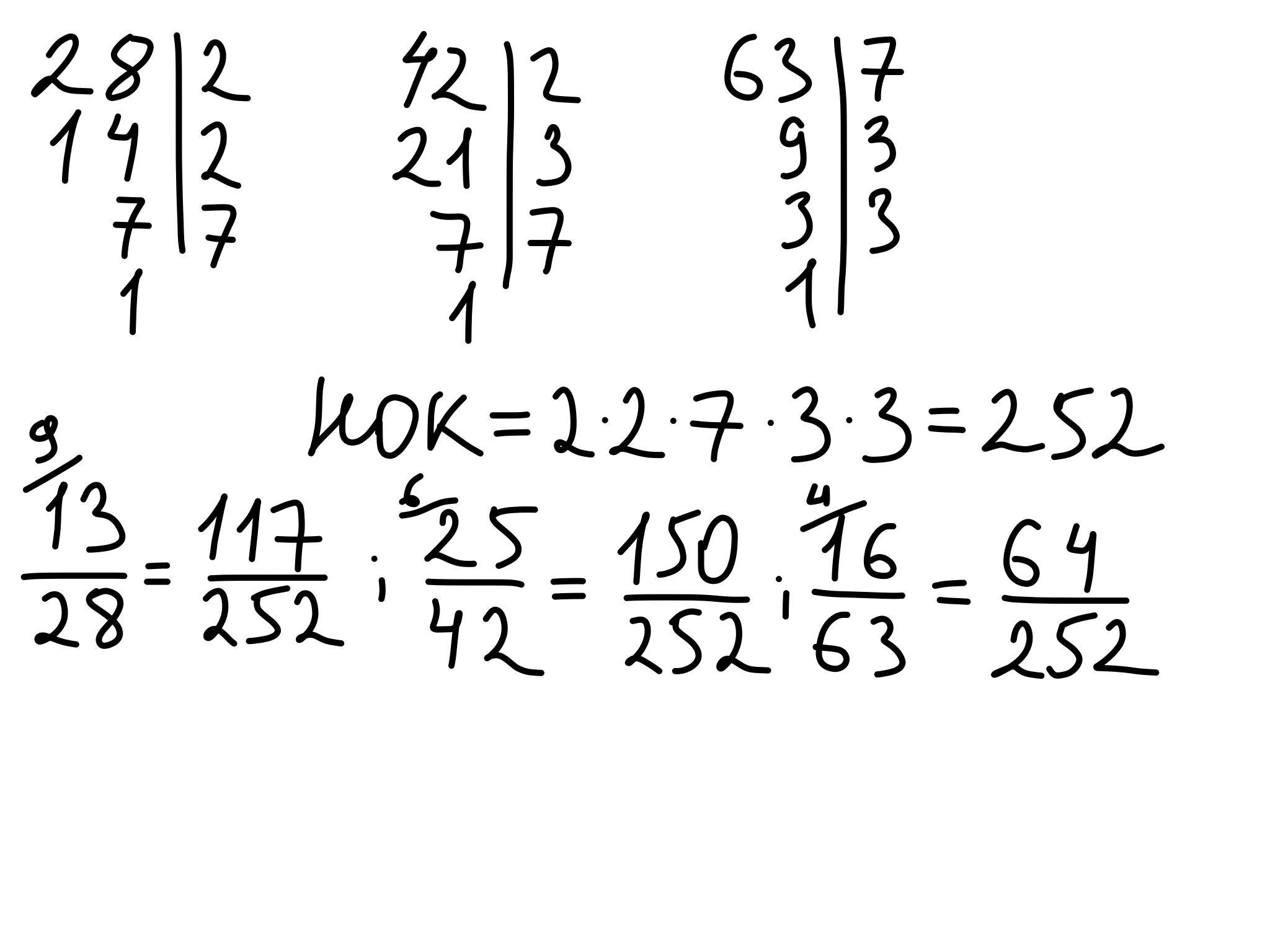
Во вложении

Приложения:
Вас заинтересует