• Предмет: Математика
  • Автор: Zelinskij34
  • Вопрос задан 3 года назад

Помогите, срочно,даю 70 балов

Приложения:

Ифигения: Тебе нужно только уравнение?

Ответы

Ответ дал: Ифигения
1

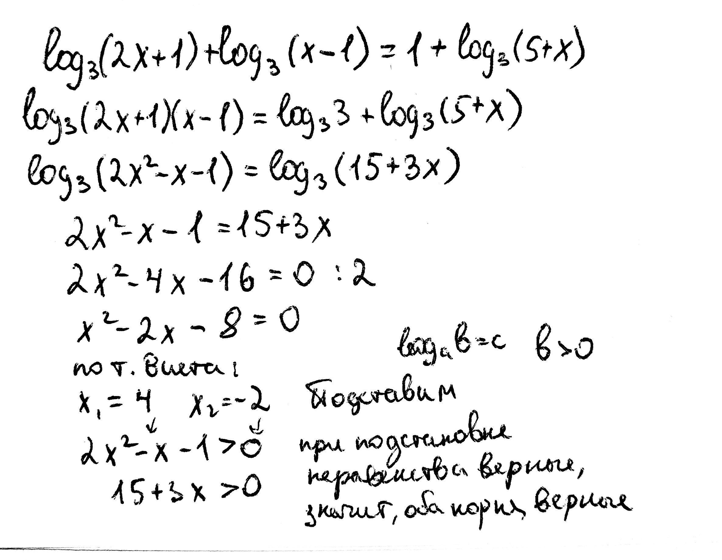
Ответ: 4; -2

Пошаговое объяснение:

Приложения:
Вас заинтересует