• Предмет: Алгебра
  • Автор: timaandalan
  • Вопрос задан 3 года назад

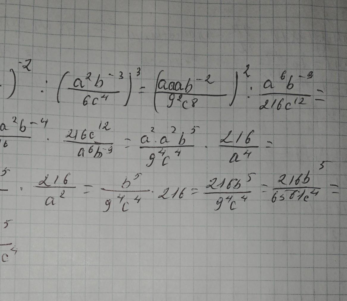
решите пж даю 15 баллов

Приложения:

Ответы

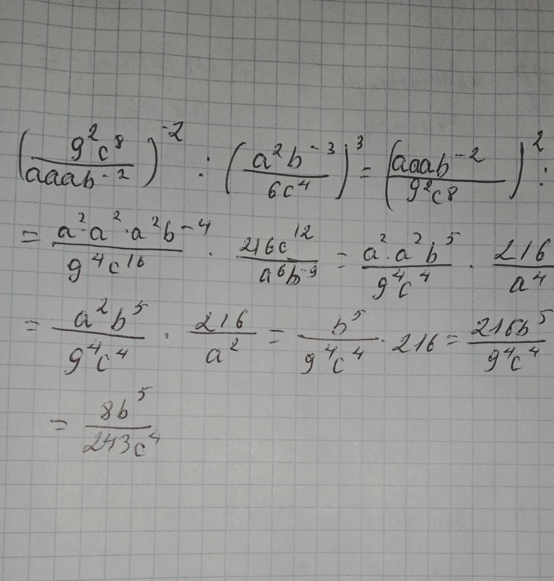
Ответ дал: ayshamusagalieva
0

Объяснение:

вот ответы . тут не поместился и разделила наверное все понятно

Приложения:
Вас заинтересует