• Предмет: Математика
  • Автор: miraandrey1904
  • Вопрос задан 3 года назад

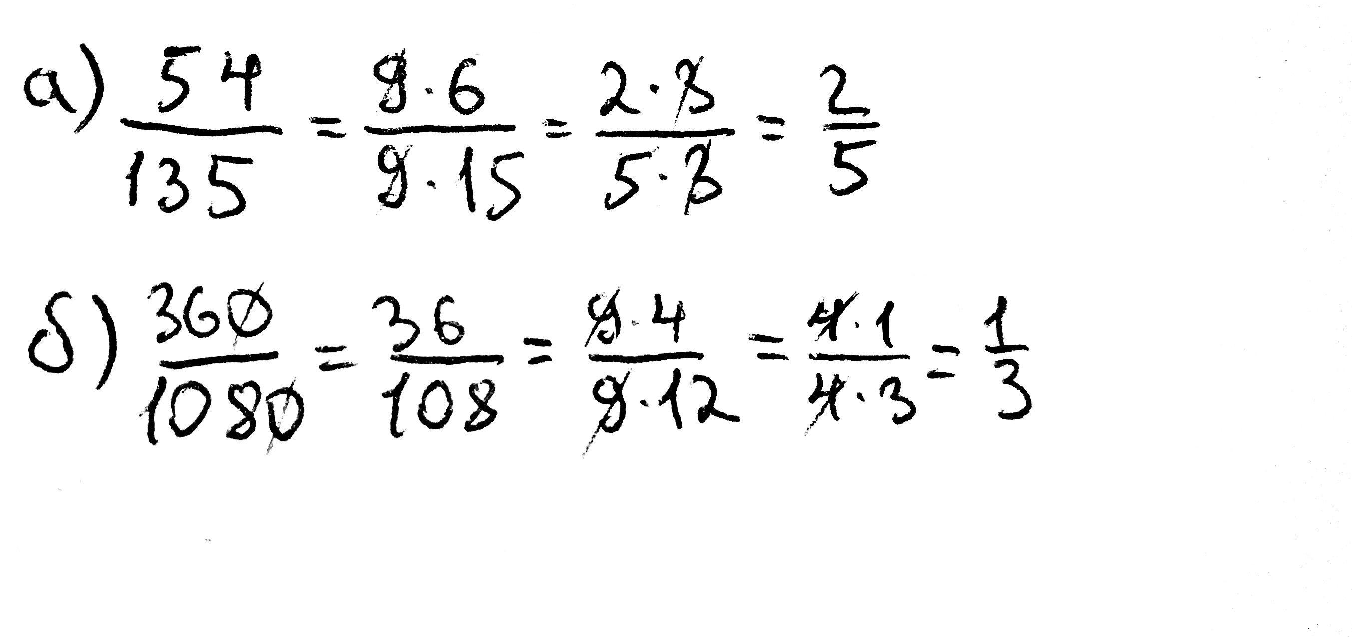
запишите в виде несократимой дроби:
а)54\135 б)360\1080​

Ответы

Ответ дал: Ифигения
2

Ответ:

Пошаговое объяснение:

Приложения:
Вас заинтересует