• Предмет: Алгебра
  • Автор: memberid365
  • Вопрос задан 3 года назад

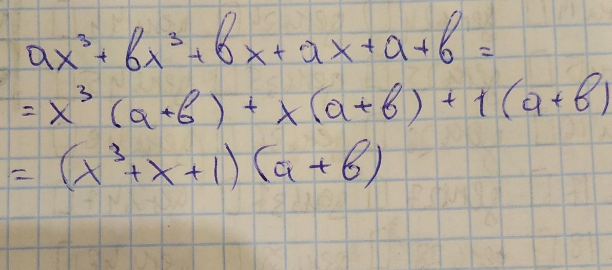
разложите множители:ax³+bx³+bx+ax+a+b

Ответы

Ответ дал: NetNamed
0

Разложите на множители:

1. Вынесем за скобки общий множитель a и b:

a*(x^{3}+x+1)+b*(x^{3}+x+1)

2. Вынесем за скобки общий множитель x³ + x + 1:

(x^{3} +x+1)*(a+b)

Ответ:  (x^{3} +x+1)*(a+b)

Ответ дал: kaaataaa
0

Ответ и решение на фото

Приложения:
Вас заинтересует