• Предмет: Алгебра
  • Автор: vmamut2008
  • Вопрос задан 3 года назад

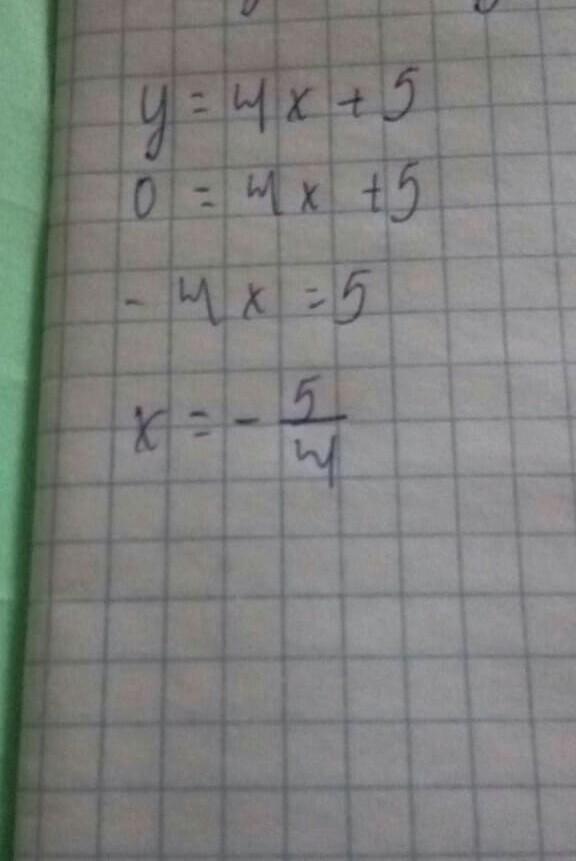
функция задана формулой у=4х+5. Найдите значения функций -2;-1,5;-1;-0,5;0;0;0,5;1;0,5;2

ПОМОГИТЕ ПОЖАЛУЙСТА!!!

ДАЮ 10Б

Ответы

Ответ дал: taskinbaevnurbol
0

я не знаю правилно или не правилно но посматрим

Приложения:

vmamut2008: Ну и где ответ
taskinbaevnurbol: ой простите
taskinbaevnurbol: ну смотри
vmamut2008: Чё за бред
Вас заинтересует