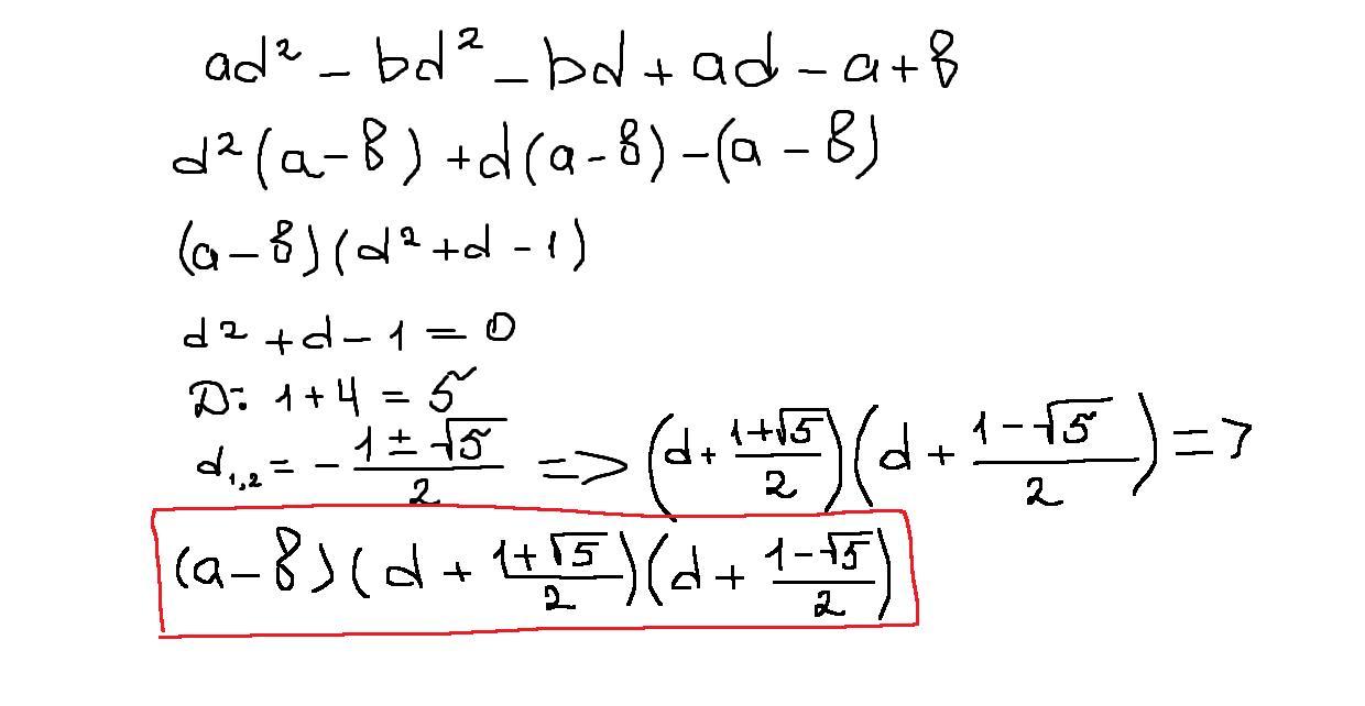
Разложите на множители: аd²- bd²- bd + ad - a + b
Artur0760:
Э yobaresh можно побыстрее а а
Ответы
Ответ дал:
1
Ответ:
(а-b-d)(d)
Объяснение:
Ответ дал:
1
Полное решение приведено на картинке.
Полученное разложение:
Приложения:

Вас заинтересует
2 года назад
2 года назад
7 лет назад
9 лет назад
9 лет назад