• Предмет: Математика
  • Автор: кристинка56
  • Вопрос задан 3 года назад

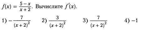
Даю 50 баллов. Помогите, пожалуйста

Приложения:

Ответы

Ответ дал: natalyabryukhova
1

Ответ:

===================================

Пошаговое объяснение:

Приложения:
Вас заинтересует