• Предмет: Математика
  • Автор: кристинка56
  • Вопрос задан 3 года назад

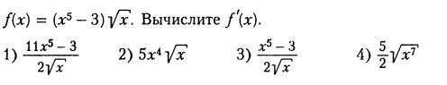
Даю 50 баллов. Помогите, пожалуйста

Приложения:

Ответы

Ответ дал: MistOne
1
Ответ на прикрепленном фото
Приложения:

кристинка56: это понятно, а какая цифра ответа то?
кристинка56: понятно, я ещё и слепой. Айм сорри
Вас заинтересует