• Предмет: Математика
  • Автор: Аноним
  • Вопрос задан 3 года назад

решите уравнение дам 10 баллов​

Приложения:

Ответы

Ответ дал: microtima
1

Ответ:

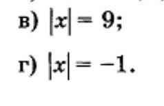
в)

|x|=9\\x = 9\\x = -9\\x_{1} = -9, x_{2} = 9

г)

|x|= -1\\

x ∈ ∅, т.к функция модуля всегда положительная или 0.

Вас заинтересует