• Предмет: Математика
  • Автор: Аноним
  • Вопрос задан 3 года назад

вычислите дам 10 баллов​

Приложения:

Ответы

Ответ дал: Ляляляля109
0

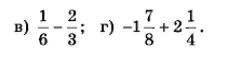
в)

\frac{1}{6}-\frac{2}{3}  =\frac{1}{6}-\frac{4}{6} =-\frac{1}{2}

г)

-1\frac{7}{8} +2\frac{1}{4} =-\frac{15}{8} +\frac{9}{4}= -\frac{15}{8}+\frac{18}{8} =\frac{3}{8}

Ответ дал: EADF
1

Ответ:

в)

 \frac{1}{6}  -  \frac{2}{3}  =  \frac{1}{6}  -  \frac{4}{6}  =  -  \frac{3}{6}  =  -  \frac{1}{2}  =  - 0.5

г)

 - 1 \frac{7}{8}  + 2 \frac{1}{4}   =  \frac{18}{8}  -  \frac{15}{8}  =  \frac{3}{8}  = 0.375

Вас заинтересует