• Предмет: Алгебра
  • Автор: xfghikkoooooftfg
  • Вопрос задан 3 года назад

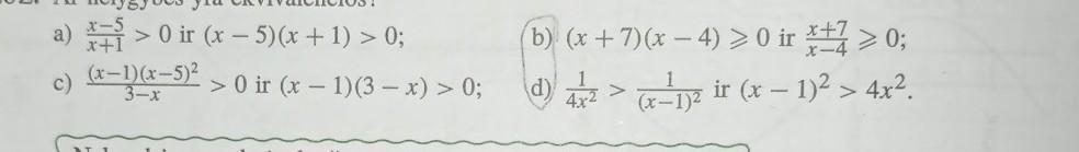
292. являются ли неравенства эквивалентными?
помогите пожалуйста :3​

Приложения:

Ответы

Ответ дал: mmb1
1

a) (x - 5) / (x + 1) > 0

+++++++(-1) ----------- (5) +++++++

x ∈ (-1,5)

(x - 5) (x + 1) > 0

+++++++(-1) ----------- (5) +++++++

x ∈ (-1,5)

да

с)

(x - 1)(x - 5)² / (3 - x) > 0

---------- (1) +++++++ (3) ----------(5) -----------

x ∈ (1, 3)

(x - 1) (3 - x) > 0

---------- (1) +++++++ (3) -------- -----------

x ∈ (1, 3)

да

b)

(x + 7)(x - 4) ≥ 0

++++++++[-7] ------------ [4] ++++++++

x∈ [-7,4]

(x + 7)/(x - 4) ≥ 0

++++++++[-7] ------------ (4) ++++++++

x∈ [-7,4)

нет

d)

1/4x² > 1/(x - 1)²

(x - 1)² > 4x²

нет 0 корень второго, в первой не определен

Вас заинтересует