• Предмет: Математика
  • Автор: alishkaavdonina
  • Вопрос задан 3 года назад

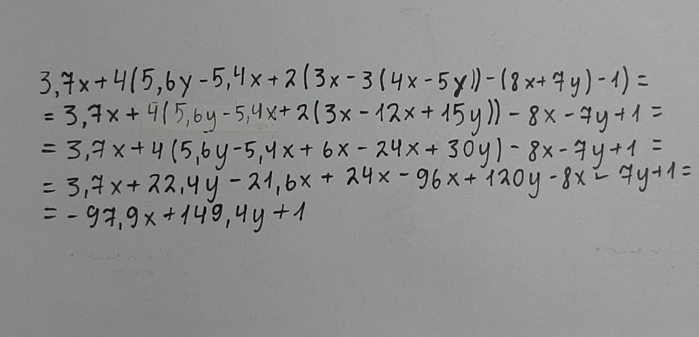
Раскройте скобки и приведите подобные слагаемые
3,7x+4(5,6y-5,4x+2(3x-3(4x-5y))-(8x+7y)-1).

Ответы

Ответ дал: elenaignatyeva1
1

Пошаговое объяснение:

не факт что правильно............

Приложения:

alishkaavdonina: спасибо большое
Вас заинтересует