• Предмет: Математика
  • Автор: quarckium
  • Вопрос задан 3 года назад

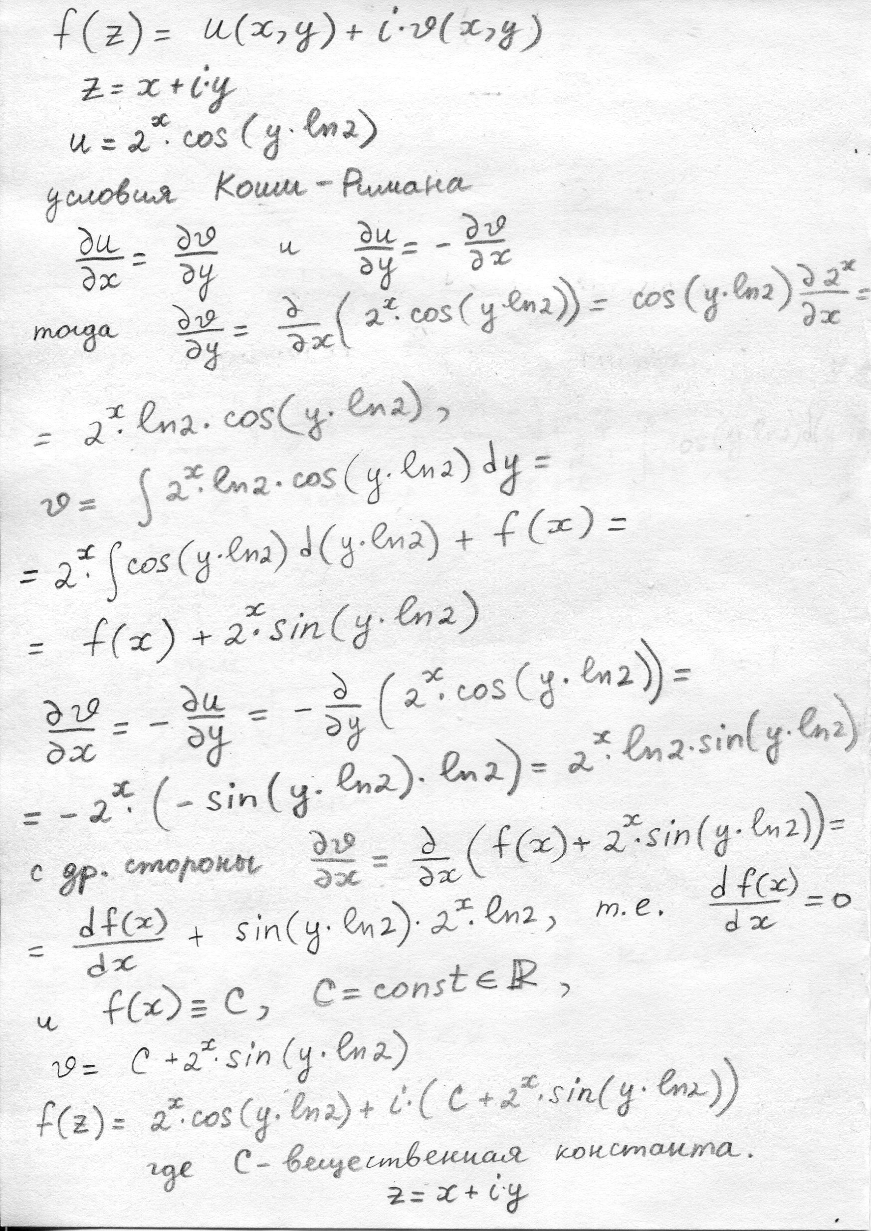
Дана действительная часть u=2^{x} cos(y*ln2) дифференцируемой
функции f (z). Найти эту функцию.

Ответы

Ответ дал: Аноним
1

я написал решение на листочке ===>>

Приложения:

quarckium: Добрый день. Не могли бы вы мне опять помочь.
Вас заинтересует