• Предмет: Математика
  • Автор: Аноним
  • Вопрос задан 3 года назад

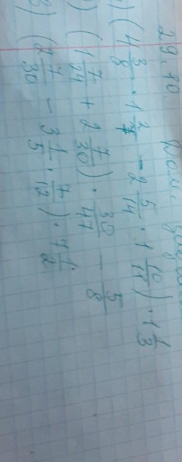
ПРОШУ СДЕЛАЙТЕ ПЖЖЖЖЖЖЖЖЖЖЖЖЖ​

Приложения:

Ответы

Ответ дал: lisa5666
1

1)- 25/84

2)13/8

3)77/60


Аноним: Желательно с обьяснениями:)
Вас заинтересует