• Предмет: Алгебра
  • Автор: mamalama1601
  • Вопрос задан 3 года назад

помогите пожалуйста... :) ​

Приложения:

Ответы

Ответ дал: 8teenth
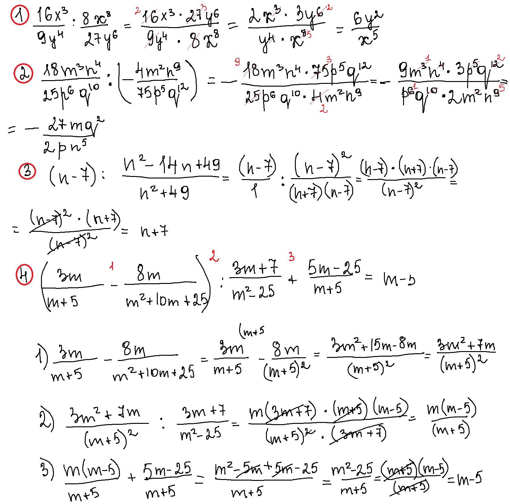
1

Відповідь: ответ я кинул ниже

Пояснення: Начало сверху, вниз решение. В конце ответ.

Думаю разберешся.

Приложения:
Ответ дал: SoniaKhomych
1

Ответ:

Надеюсь всё хорошо видно :)

Объяснение:

Приложения:
Вас заинтересует