• Предмет: Алгебра
  • Автор: НубИк10
  • Вопрос задан 3 года назад

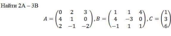
Матрицы. Можно подробное решение, пожалуйста

Приложения:

Ответы

Ответ дал: DamirTerekbaev
1

Вот подробное решение матриц

Приложения:
Вас заинтересует