• Предмет: Алгебра
  • Автор: ship99
  • Вопрос задан 3 года назад

Даю 50 баллов помогите пж

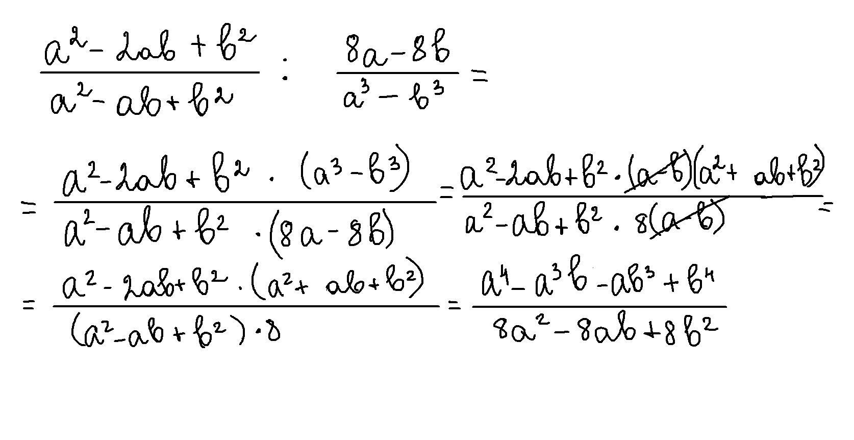
a^2-2ab+b^2/a^2-ab+b^2:8a-8b/a^3-b^3

Ответы

Ответ дал: SoniaKhomych
4

Ответ:

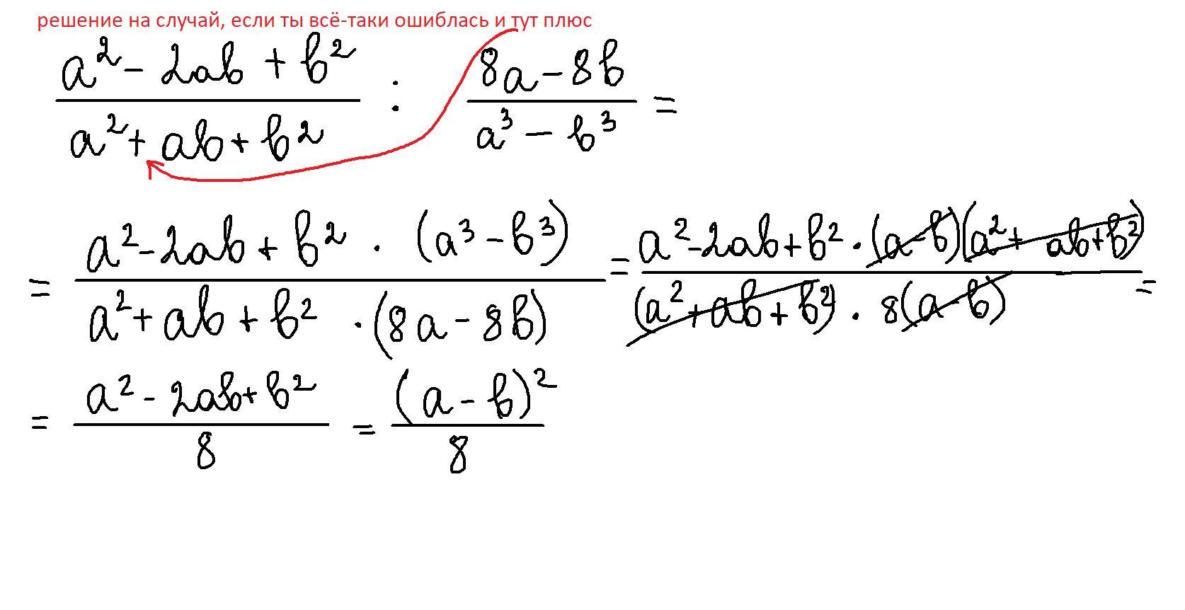
Если бы в первой дроби после a^{2} в знаменателе был плюс, то всё бы красиво сократилось... Проверь условие

Объяснение:

Вторая фотка на случай, если там всё-таки плюс

Приложения:
Вас заинтересует