• Предмет: Алгебра
  • Автор: nikitkaaleshin97
  • Вопрос задан 3 года назад

Вычислить предел пожалуйста

Приложения:

Ответы

Ответ дал: GluV
0

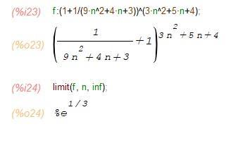
Ответ:

e^{\frac{1}{3}}

Объяснение:

Используем предел \lim_{n \to \infty} (1+\frac{1}{n})^n=e

Перепишем исходный предел \lim_{n \to \infty} (1+\frac{1}{9n^{2}+4n+2})^{3n^{2}+5n+4}= \lim_{n \to \infty} (1+\frac{1}{9n^{2}})^{3n^{2}}=\lim_{n \to \infty} ((1+\frac{1}{9n^{2}})^{9n^{2}})^{\frac{1}{3} }=e^{\frac{1}{3}}

Проверяем в Maxima

Приложения:
Вас заинтересует