• Предмет: Алгебра
  • Автор: Аноним
  • Вопрос задан 3 года назад

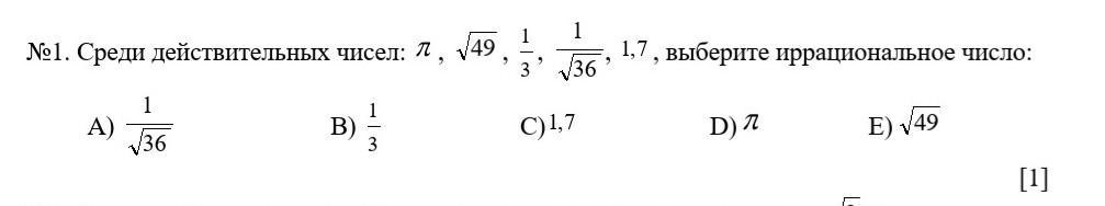
Среди действительных чисел:...​

Приложения:

Ответы

Ответ дал: manakovanat9392
2
D).....................
Ответ дал: Muxammadjon123
3

Ответ:

Ответ D

Объяснение:

Это должно быть правильно

Вас заинтересует