• Предмет: Геометрия
  • Автор: bubdodo5
  • Вопрос задан 3 года назад

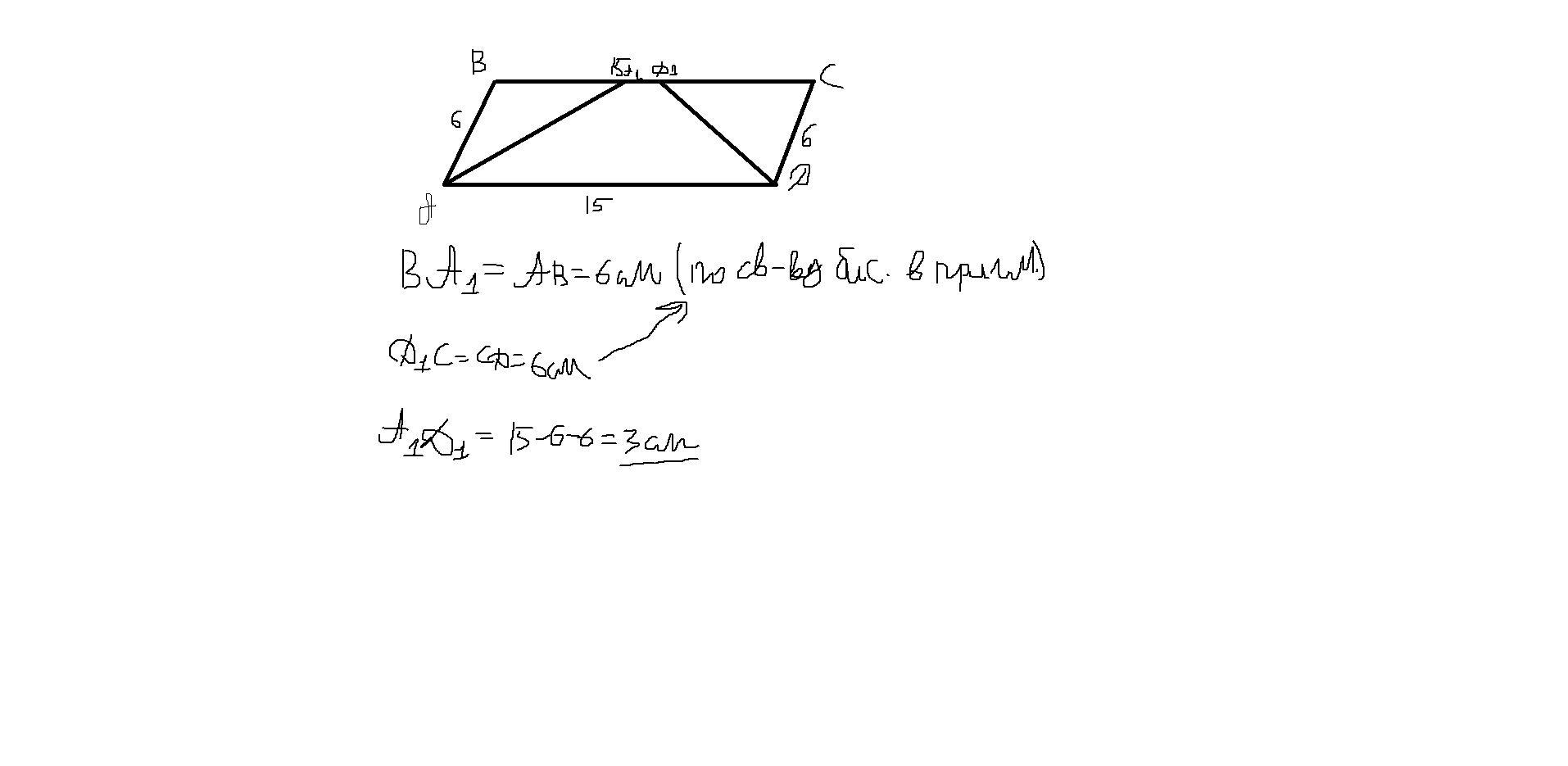
Стороны параллелограмма равны 15см и 6 см. Биссектрисы двух углов, прилегающих к большей стороне, делят противоположную сторону на три отрезка. Найдите эти отрезки.​

Ответы

Ответ дал: adorogov5
8

Ответ:

6 см, 3 см, 6 см

Объяснение:

Приложения:
Вас заинтересует