• Предмет: Алгебра
  • Автор: aruzanmaksotova592
  • Вопрос задан 3 года назад


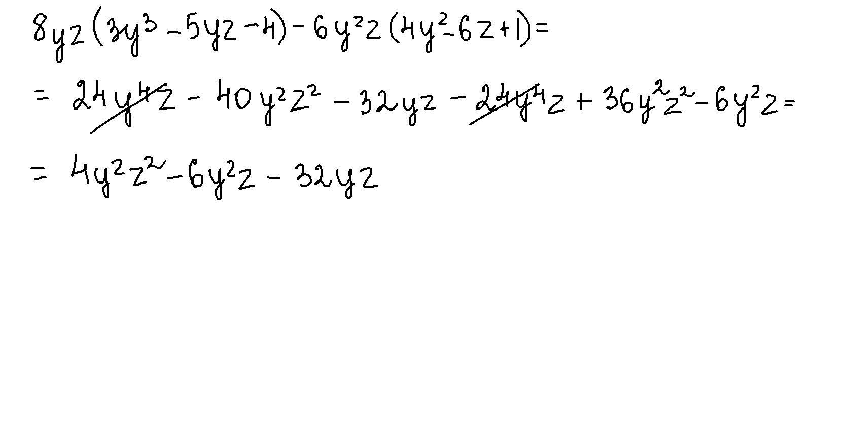
8yz \times ( {3y}^{3}  - 5yz - 4) -  {6y}^{2}z \times ( {4y}^{2}  - 6z + 1 =
шығару керек срочно

Ответы

Ответ дал: SoniaKhomych
2

Ответ:

Держи)

Объяснение:

Приложения:
Вас заинтересует