Ответы
Ответ дал:
1
Ответ:
Добрый вечер!
Пошаговое объяснение:
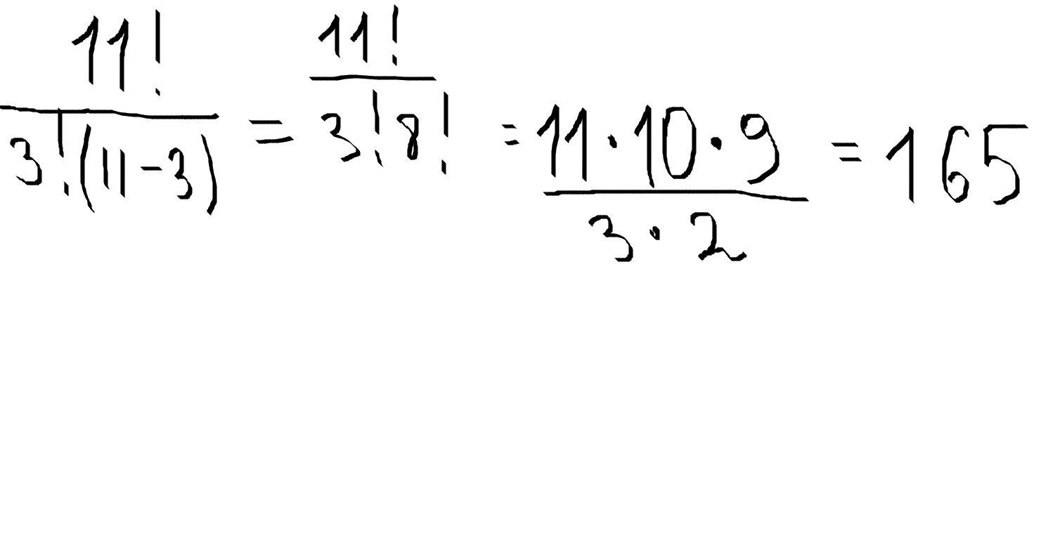
165 способов выбрать троих из всех.
11-5=6 не пенсионеры.
6 способов выбрать одного НЕ пенсионера.
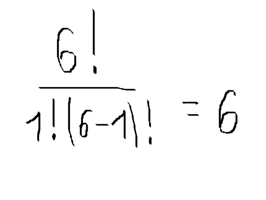
10 способов выбрать двух пенсионеров.
6*10=60 способов выбрать нужную тройку.
60/165=0,36 искомая вероятность.
.
Приложения:



Вас заинтересует
2 года назад
2 года назад
7 лет назад
9 лет назад