• Предмет: Алгебра
  • Автор: veter20002
  • Вопрос задан 3 года назад

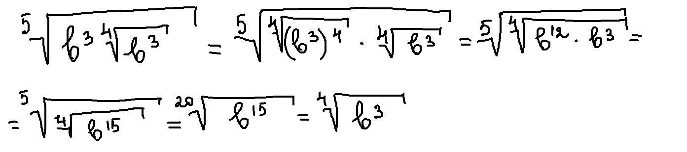
Упростите выражение:

Приложения:

Ответы

Ответ дал: SoniaKhomych
1

Ответ:

\sqrt[4]{b^{3} }

Приложения:

alaya45: А у меня 20√8^12b^3
Вас заинтересует