• Предмет: Алгебра
  • Автор: vakarimas
  • Вопрос задан 3 года назад

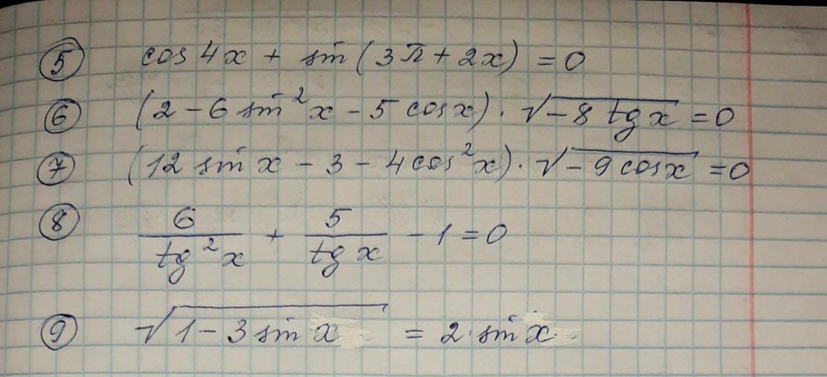
Доброе время суток. Пожалуйста, помогите решить. Желательно, с подробным решением!

Приложения:

Ответы

Ответ дал: m11m
1

Ответ:

Объяснение:

!!!!!!!!!!!!!!!!!!!!!!!!!!!!!!

Приложения:

vakarimas: Спасибо большое! ❤️
Вас заинтересует