• Предмет: Алгебра
  • Автор: azizabaizhanova28
  • Вопрос задан 3 года назад

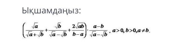
помогите,,,,,,дам 15 баллов

Приложения:

Ответы

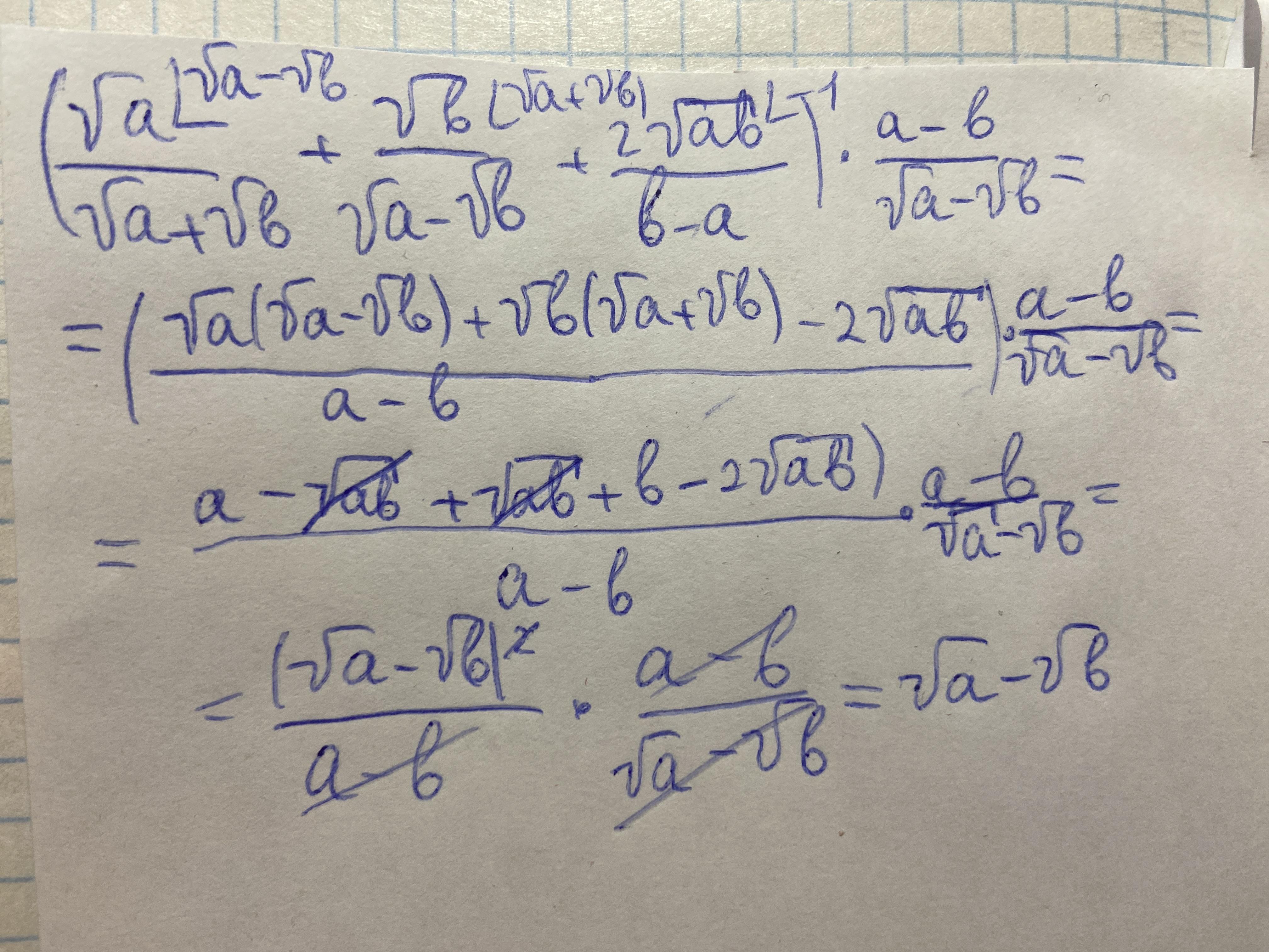
Ответ дал: attentionwhore
1

Ответ: sqrt(a)-sqrt(b)

Решение в картинке

Приложения:
Вас заинтересует