• Предмет: Математика
  • Автор: kolahorm34260
  • Вопрос задан 3 года назад

Пожалуйста очень нужно

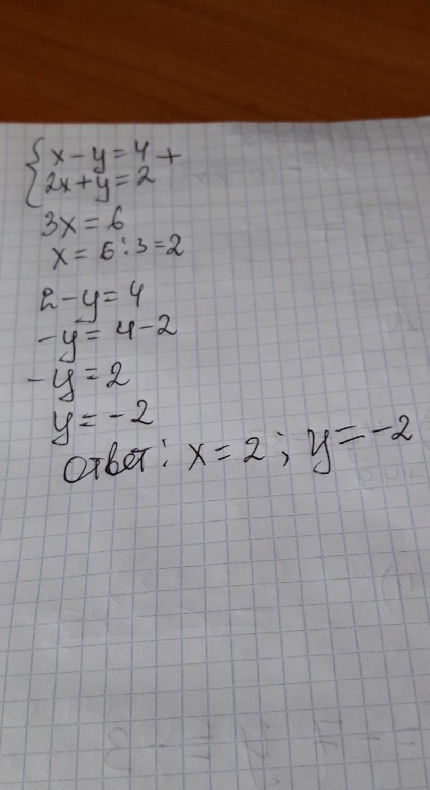
Приложения:

kolahorm34260: Пожалуйста
kolahorm34260: Кто нибудь

Ответы

Ответ дал: naglyikot154
1

Ответ:

На сайте есть ответ вот я тебе его скопировала Х - 5y = 3

5y - 2x = 4

•••••••••••••

2x - 10y = 6

5y + 2x - 2x - 10y = 4 + 6

- 5y = 10

y = - 2

X + 10 = 3

X = - 7

Ответ ( - 7 ; - 2 )

И не бей меня то что я скопировала ))

Приложения:
Вас заинтересует