• Предмет: Математика
  • Автор: MENTOS73
  • Вопрос задан 3 года назад

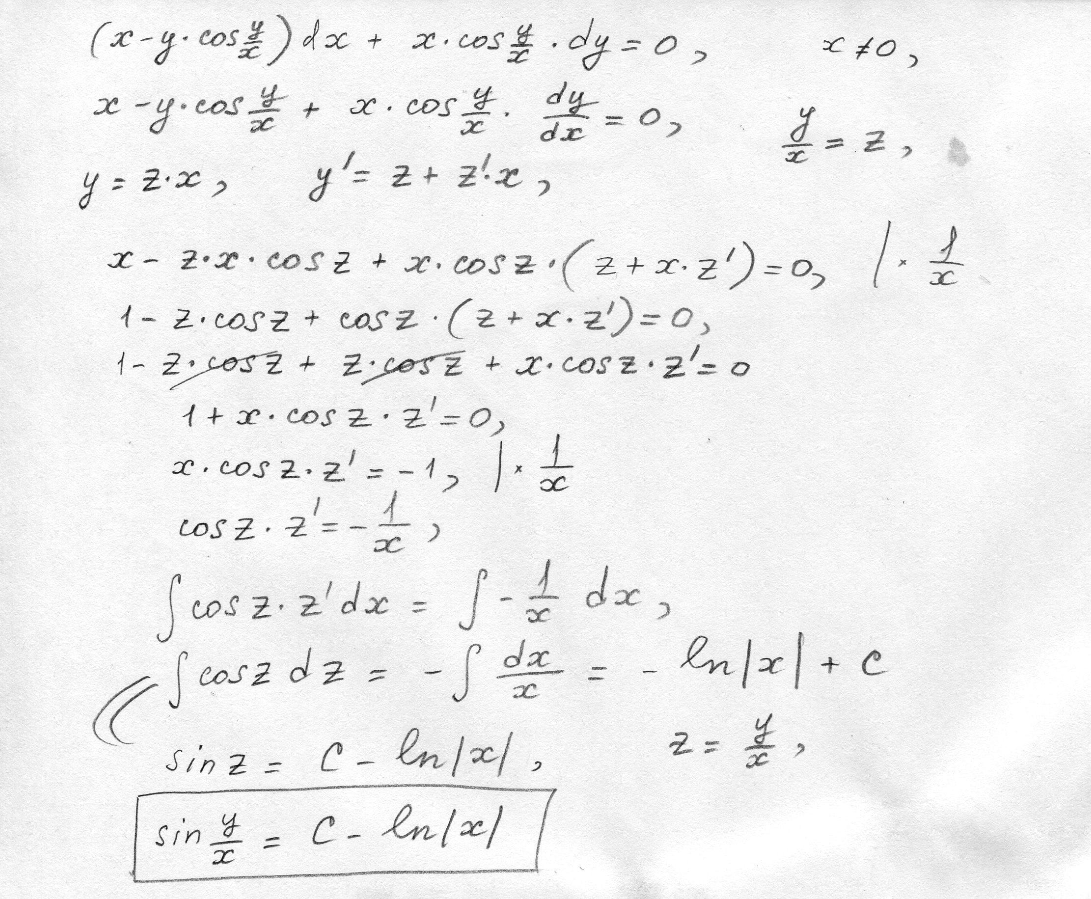
Решите пожалуйста уравнение 1-го порядка по дифференциальным уравнениям - (x-y*cos(y/x))dx + x*cos(y/x)dy=0

Ответы

Ответ дал: Аноним
2

я написал решение на листочке ===>>

Приложения:

MENTOS73: Спасибо еще раз. Можешь решить это уравнение ? (y')^4-(y')^2=y^2
MENTOS73: Или это y'+4x^3y^3+2xy=0
MENTOS73: Одно из двух. У меня сейчас кр, нужно срочно)
Вас заинтересует