• Предмет: Алгебра
  • Автор: javohirhello
  • Вопрос задан 3 года назад

Тригонометрия. Нужно оч срочно. Даю 50 баллов

Приложения:

Ответы

Ответ дал: tamarabernukho
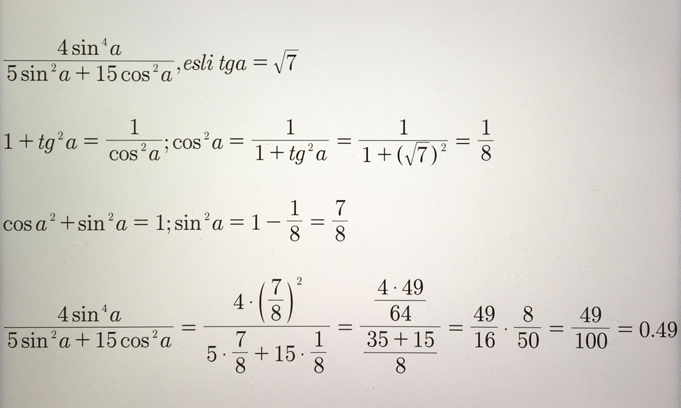
3

Ответ:

Объяснение:

..........................

Приложения:
Вас заинтересует