• Предмет: Математика
  • Автор: pavkka
  • Вопрос задан 3 года назад

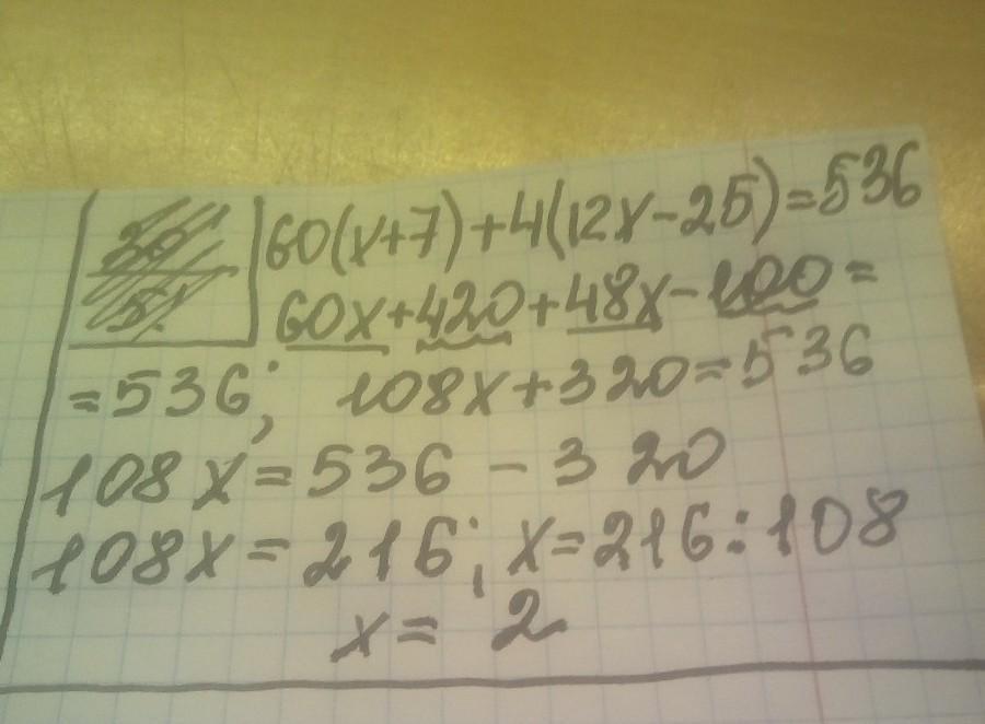
Упростите выражение: 60(х+7)+4(12х-25);
Следовательно решите уравнение: 60(х+7)+4(12х-25)=536.

Ответы

Ответ дал: manyny06
1

Ответ:

решение на фотографии

Приложения:

pavkka: спасибо
Ответ дал: Dauletbaevv
1

Ответ:

60(x+7)+4(12x-25)=60x+420+48x-100=10x+320

Вас заинтересует