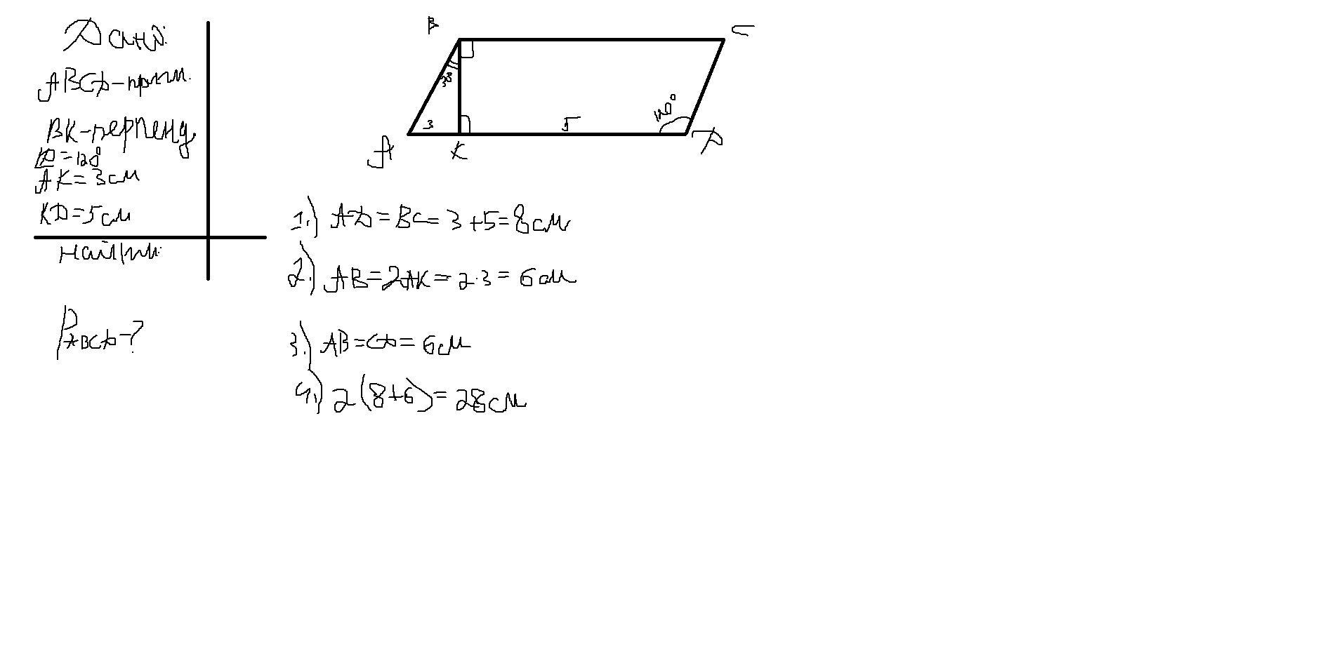
в параллелограмме ABCD угол равен 120 градусов, перпендикуляр ВК делит сторону AD на отрезки 3 и 5 см. найдите периметр параллелограмма. С ЧЕРТЕЖОМ ПОЖАЛУЙСТА!!
Ответы
                                            Ответ дал: 
                                                                                    
                                        
                                            
                                                
                                                
                                                
                                                    1
                                                
                                            
                                        
                                    Ответ:
28 см
Объяснение:
Приложения:
                    
                            
                    karishka1455:
                    спасибо большое я хотя бы на 3 напишу)))
                
            Вас заинтересует
                
                        2 года назад
                    
                
                        2 года назад
                    
                
                        2 года назад
                    
                
                        2 года назад
                    
                
                        9 лет назад