• Предмет: Алгебра
  • Автор: vikacool1212
  • Вопрос задан 3 года назад

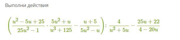
помогите пожалуйста...

Приложения:

Ответы

Ответ дал: tosya01
0

Объяснение: если было полезным, ставь как лучший ответ

Приложения:
Вас заинтересует