• Предмет: Математика
  • Автор: zeinepaizat
  • Вопрос задан 3 года назад

Найти площадь треугольника с вершинами А(-4; -7), В(-2; 6) и С(9; 5).​

Ответы

Ответ дал: baimukhanova98
1

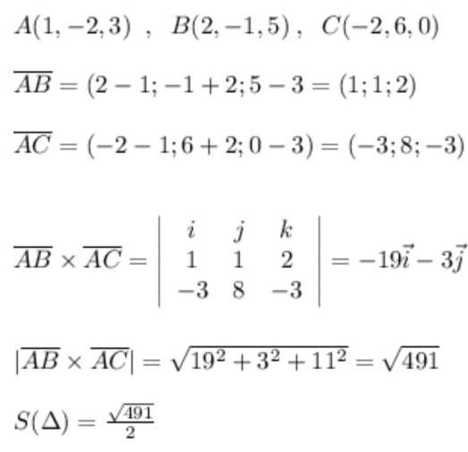
Пошаговое объяснение:

Вот.................

Приложения:
Вас заинтересует