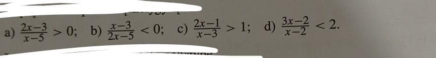
УМНЫЕ ЛЮДИ!!
помогите пожалуйста решить дробные неравенства прошууу
ЗАВТРА СДАВАТЬ :((
Приложения:

Ответы
Ответ дал:
3
Ответ:
Здравствуй, ответ указен на фотографии.
Объяснение:
...
Приложения:



Вас заинтересует
2 года назад
2 года назад
2 года назад
7 лет назад
9 лет назад