Ответы
Ответ дал:
1
Ответ:
Объяснение:
///////////////////////////////////////////////////
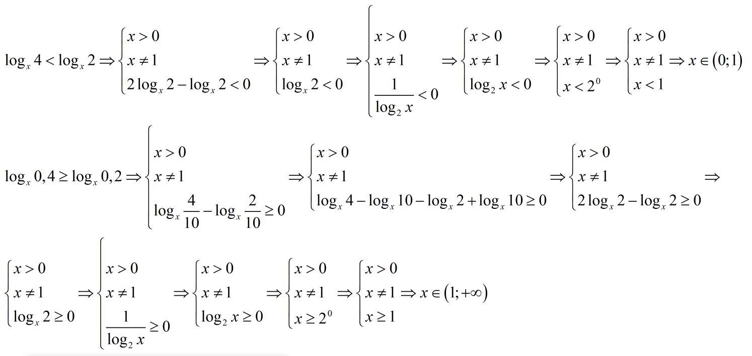
в б) log₂x>0
x>2⁰
x>1
Приложения:

Вас заинтересует
2 года назад
2 года назад
2 года назад
2 года назад
9 лет назад