Ответы
Ответ дал:
1
Пошаговое объяснение
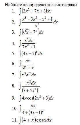
1, 11................
Приложения:


Вас заинтересует
2 года назад
2 года назад
2 года назад
7 лет назад
9 лет назад