• Предмет: Математика
  • Автор: azimdusheev80
  • Вопрос задан 3 года назад

помогите пожалуйста 30 баллов .

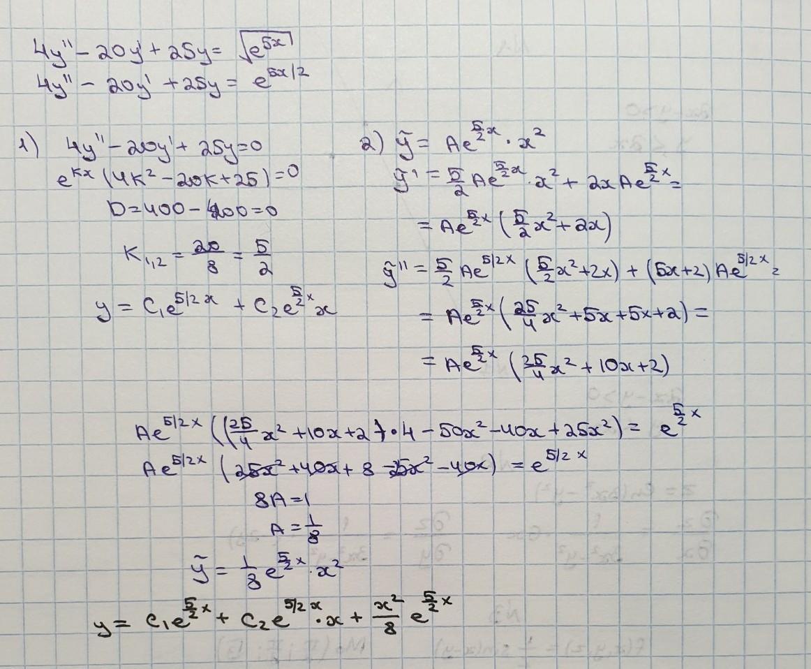
Решить линейные неоднородные дифференциальные уравнения второго порядка.

4y'' - 20y' + 25y = √e^5x​

Ответы

Ответ дал: Miroslava227
1

Ответ:

решение на фотографии

Приложения:
Вас заинтересует