• Предмет: Алгебра
  • Автор: wjdkdkkeke
  • Вопрос задан 3 года назад

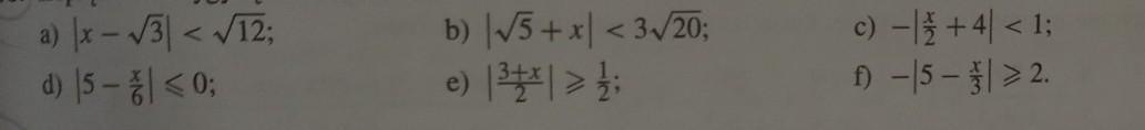
Помогите решить неравенства с модулем!!!​

Приложения:

Ответы

Ответ дал: karinagermanova979
0

Ответ:

сам решааааааааййй

Объяснение:

эм

Вас заинтересует