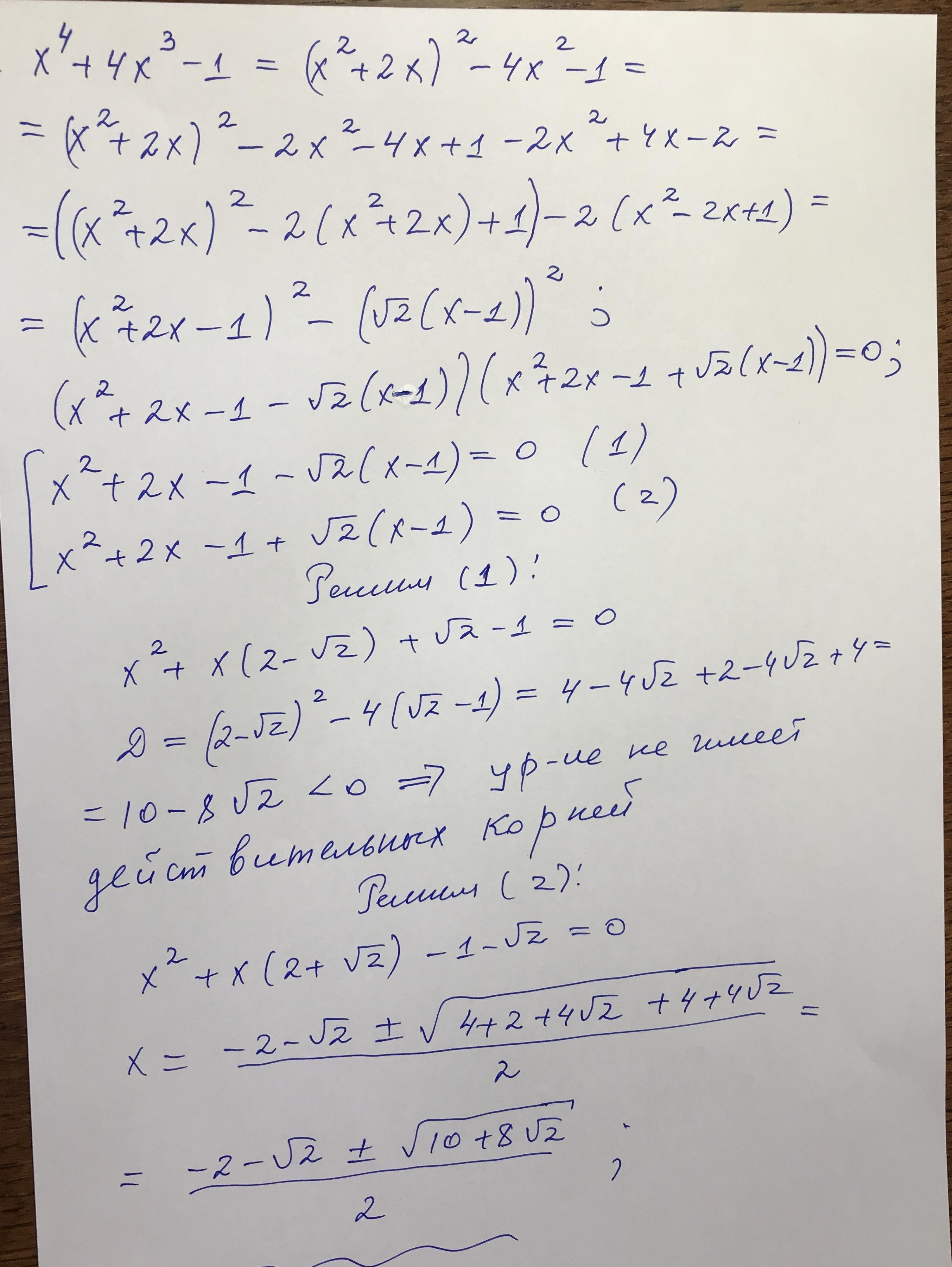
Решить и объяснить решение уравнения
. Есть подсказка что если сгруппировать правильным образом то все выльется в разность квадратов
Bears9:
Ах, да мой учитель по совместительству доцент, кандидат физ.-мат. наук
a1=−(c1+c2+…+cn)
a2=c1c2+c1c3+…+c1cn+c2c3+…+cn−1cn
a3=−(c1c2c3+c1c2c4+…+cn−2cn−1cn)
…
an−1=(−1)n−1(c1c2…cn−1+c1c2…cn−2cn+…+c2c3…
an=(−1)nc1c2…cn
Иначе говоря, произведение (−1)kak равно сумме всех возможных произведений из k корней.
корни есть 4 штуки
по виету
найдете p q m n
посмотрите разложение
Ответы
Ответ дал:
2
Решение : ///////////////////////////////////
Приложения:

Вас заинтересует
2 года назад
2 года назад
2 года назад
2 года назад
7 лет назад
7 лет назад
9 лет назад