• Предмет: Алгебра
  • Автор: Аноним
  • Вопрос задан 3 года назад

ДАМ 35 БАЛЛОВ!!!!
308.Решите систему линейных неравенств
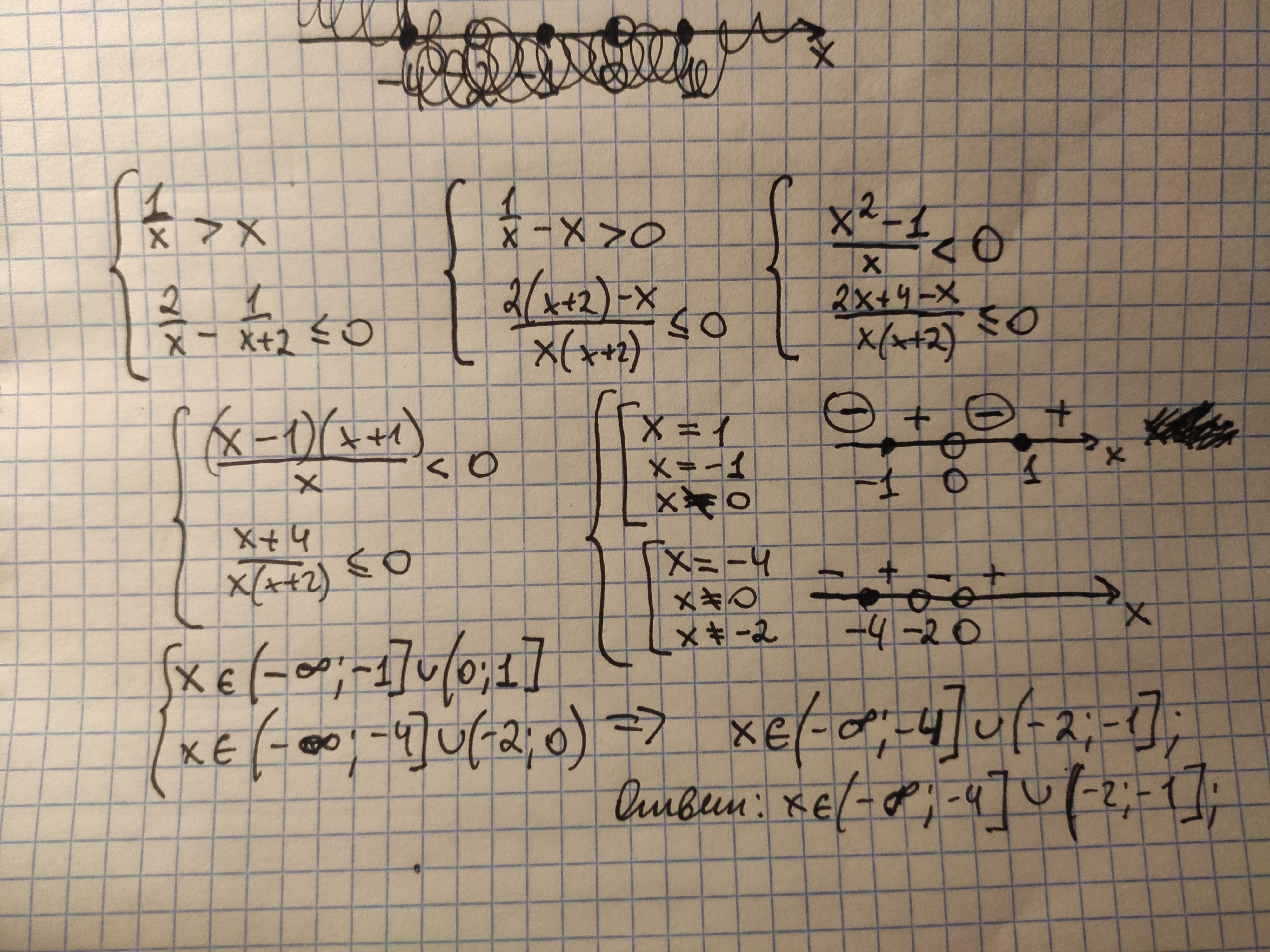
c)\left \{ {{\frac{1}{x}\  \textgreater \ x} \atop {\frac{2}{x}-\frac{1}{x+2}\leq 0}} \right.

Ответы

Ответ дал: Garaj5
0

Находишь корни к каждой части системы, отмечаешь промежутки, потом ищешь их пересечение

Приложения:
Ответ дал: NNNLLL54
0

\left\{\begin{array}{lc}\ \ \dfrac{1}{x}>x\\\dfrac{2}{x}-\dfrac{1}{x+2}\leq 0\end{array}\right\ \ \left\{\begin{array}{l}\dfrac{1-x^2}{x}>0\\\dfrac{2x+4-x}{x(x+2)}\leq 0 \end{array}\right\ \ \left\{\begin{array}{l}\ \dfrac{(x-1)(x+1)}{x}<0\\\dfrac{x+4}{x(x+2)}\leq 0\end{array}\right\\\\\\\left\{\begin{array}{l}---(-1)+++(0)---(1)+++\\---[\, 4\, ]+++(-2)---(0)+++\end{array}\right\ \ \left\{\begin{array}{l}x\in (-\infty ;-1\, )\cup (\, 0\, ;\, 1\, )\\x\in (-\infty ;-4\, ]\cup (-2\, ;\, 0\, )\end{array}\right

x\in (-\infty ;-4\, ]\cup (-2\, ;-1\, )

Приложения:
Вас заинтересует